EGUIDE講習受講後における実践度率の8年間の推移
概要
EGUIDE講習により診療ガイドラインに基づく臨床行動が改善し、その効果が受講後2年程度まで維持されることは、これまでの研究で示されてきました。一方で、より長期の期間において、こうした行動変容がどの程度持続するのかについては、これまで十分に検討されていませんでした。
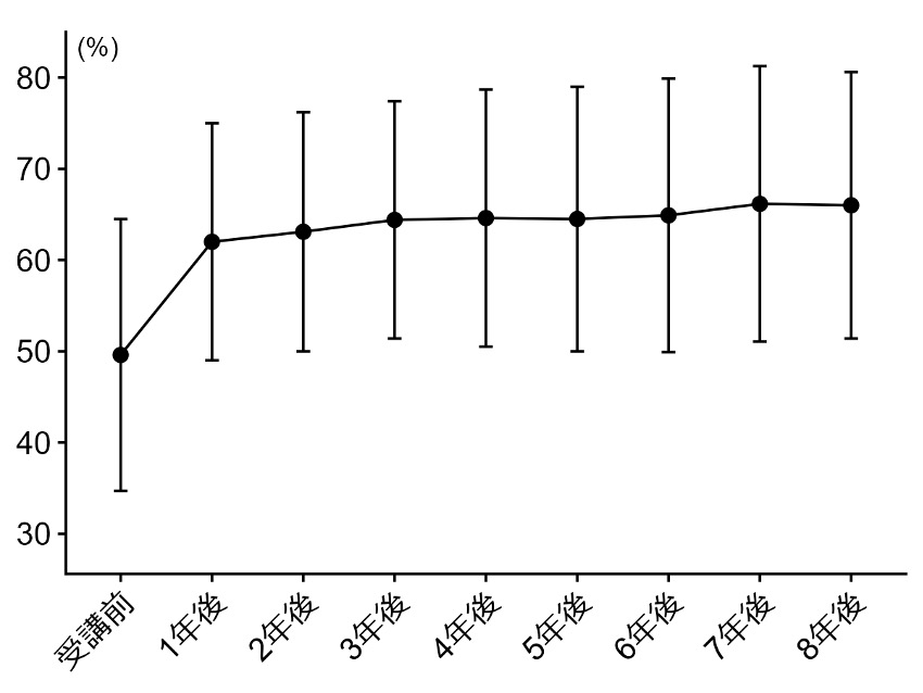
本研究では、EGUIDE講習を受講した精神科医を対象に、ガイドラインに基づく臨床行動の実践度率(Clinical Behavior: CB)について、受講前から最大8年間の推移を検討しました。実践度率(CB)は、統合失調症とうつ病の治療ガイドラインに沿った主観的な臨床行動を、Webアンケートによって評価した指標です。本研究では、ガイドラインの一般的な臨床行動を示す実践度率(CB-G)、統合失調症の実践度率(CB-S)、うつ病の実践度率(CB-D)として評価しました。さらに、これら3領域の平均値を包括的実践度率(CB-C)として算出しました。
その結果、いずれの実践度率指標においても、受講後は受講前と比べて高い水準を示し、その状態は最大8年間にわたり概ね維持されていました。年ごとの変動は小さく、全体として顕著な低下は認められませんでした。これらの結果から、EGUIDE講習による教育介入は、臨床行動の変容の長期的維持に寄与する可能性が示唆されました。
図:EGUIDE講習受講後における実践度率の8年間の推移(CB-C)
<今回の結果を踏まえ、精神科医師の皆様に以下を提案します>
- ガイドラインに沿った診療行動を継続するために、EGUIDEプロジェクトが実施するガイドライン講習会へ参加しましょう。
- 講習後も、年次アンケート等を通じた自己点検やフィードバックの機会を活用し、臨床行動を振り返りましょう。
この内容は「Neuropsychopharmacology Reports」に掲載されました。 原文はこちら
